No hay ubicaciones que mostrar.
[toc]
El ácido hialurónico se utiliza como material de relleno, los labios siguen siendo una de las zonas con más demanda a nivel facial utilizado como material de relleno para dar volumen . Es Un Tratamiento muy utilizado ONU Nivel facial en general en la medicina estética para Combatir las arrugas de Expresión, aumentar ¿¿pómulos y labios OA Nivel corporales en gluteos también .. . SE APLICA para modelar de el contorno facial, pliegues Corregir, Arrugas de Expresión y dar volumen en Zonas Donde ha disminuído O que simplemente Queremos Destacar.
El acido hialuronico se emplea en estética y debido a su gran capacidad de captación de agua para eliminar los pequeños surcos faciales alrededor de la región peribucal o arrugas del labio superior (conocida también como ‘ relleno codigo de barras , los surcos nasogenianos o rictus y las arrugas de expresión profundas. Además de alisar los pliegues subcutáneos, el ácido hialurónico actúa estimulando la producción de colágeno, multiplicando y prolongando a la vez su efecto rejuvenecedor. Con la aplicación de ácido hialurónico en tratamientos faciales se eliminarán estas arrugas tanto de expresión como superficiales y podremos también aumentar el volumen como en acido hialuronico labios.

Zonas a ratar con acido hialuronico
El acido hialuronico también se utiliza en cremas son por su factor hidratante o humectante principalmente por su gran capacidad de retener agua a modo de esponja y por lo tanto hidratar donde se aplique. También será importante para nuestras articulaciones ya que esa capacidad de retención de agua, seria de alguna forma como lubricante del movimiento entre dos partes articuladas. No olvidemos que el 60% de nuestro cuerpo es agua y la precisión en la mayoría de las reacciones químicas y su vez retenerla en lugares concretos, función que cumple el acido hialuronico.

En la actualidad en Estética son bastantes personas las que deciden mejorar su aspecto también a través de los hilos tensores que como tratamiento no requiere pasar por el quirófano ni por procedimientos anestésicos así como la toxina botulínica popularmente conocida como Micro Denervación Selectiva indicada principalmente para las arrugas de expresión de la frente, entrecejo y patas de gallo. Con la pérdida progresiva de los tejidos de relleno naturales, aparecen los primeros excedentes de piel y los tejidos descienden, apareciendo surcos como el suborbitario, nasogeniano y líneas de marioneta (que parten de las comisuras de la boca y caen verticalmente cara el borde inferior del mentón y que dan un aspecto triste a la zona peribucal).Entre los rellenos faciales más conocidos y más utilizados se hallan aquellos que poseen ácido hialurónico. Este ácido es un polisacárido que está presente en los tejidos conectivos humanos incluyendo la piel, que es un componente flexible primordial de ésta, que contiene agua (noventa y nueve con cinco por ciento), y que juega un papel esencial en la capacitación de colágeno estable y en la organización de la matriz extracelular.
El ácido hialurónico se caracteriza por ser un producto natural, biodegradable y reabsorbible . El relleno NO precisa anestesia local, y es posible realizarlo con tópica. No puede ser utilizado en personas alérgicas a las proteínas del pollo y al huevo. El implante se integra en los tejidos de una manera natural, dejando pasar el oxígeno y los nutrientes. Dejará sostener una convenientemente equilibrada la hidratación cutánea. Se pueden Rellenar Líneas de Expresión, arrugas, cicatrices, depresiones Y arrugas del labio superior, , Línea periorbital , comisuras orales , Borde bermellón .. .
En general el acido hialuronico es un gran aliado gracias a su capacidad de retención de agua, el ácido hialurónico presenta una elevada capacidad de hidratación, tanto en profundidad como en superficie, por lo que su uso regular aporta hidratación, elasticidad, flexibilidad y firmeza a la piel.
| GRADO | DESCRIPCIÓN | ZONA |
|---|---|---|
| 0 | No arrugas horizontales | Frontal |
| 1 | Arrugas perceptibles en región glabelar | Arrugas en glabela |
| 2 | Arrugas moderadamente profundas | Lineas Periorbitales |
| 3 | Arrugas profundas | Lineas preauriculares |
| 4 | Arrugas profundas marcadas | Lineas en mejillas |
| 5 | Arrugas muy profundas | Pliegues nasogenianos, lineas de marioneta, surco labiodental … |
.Que aunque data del 2001, hay que valorar se gran utilidad en el momento porque el acido hialuronico fué aprobado por la FDA apenas tres años antes en 1997 y había que marcar unas pautas quizás algo abstractas antes. Tengamos en cuenta que cada tipo de arruga precisaría un tipo de hialurónico diferente y una técnica de aplicación y profundidad también diferente.
| ESTÁTICAS | DINÁMICAS |
|---|---|
| Aquellas que se pueden ver en la cara cuando está relajada | Aquellas que se producen con la máxima expresión |
| EN EL TERCIO SUPERIOR * | EN EL TERCIO MEDIO | EN EL TERCIO INFERIOR |
|---|---|---|
| Frente | Pómulos y mejillas | Proyección labio |
| Patas de gallo | Surcos nasogenianos o Rictus | Borde mandibular |
| Cejas | Linea marioneta | |
| Ojeras | Mentón | |
| Zona temporal | Volumen de labios | |
| Líneas glabelares o zona entrecejo |
* (El tercio superior cubre desde el frente hasta la zona periorbitaria). El ácido hialurónico con fines estéticos también es utilizado en otros tratamientos faciales aplicadose en forma de mesoterapia facial o como factor hidratante, que además de vitaminas contienen ácido hialurónico que nos redensificar e hidratarán la piel de la zona es aplicada.
La Dra o el Doctor valorarán tendrá en cuenta a su vez otras tablas la de * Fitzpatrick o la clasificación de * Glogau así como muchos otros factores como són el tipo de piel, coloración, exposición solar, tratamientos anteriores, antecedentes, lesiones, intervenciones …. Dentro por supuesto una historia clínica completa con un estudio minucioso de la zona, la mímica , las expresiones , líneas de tensión. Muchas valoraciones apenas son percibidas por el paciente y es donde será importante la experiencia del profesional para dirigir la personalización del tratamiento. El éxito estará en cumplir con las expectativas o acercarse a ellas todo lo posible o porque nó … superarlas.Pero nunca crear una falsa expectativa que marcaría un fracaso que dependerá de esa primera visita siempre y de la comunicación médico paciente y de ser realistas .. No olvidemos que la medicina no es una ciencia exacta o prácticamente muy difícil y la estética un concepto personal. De ahí la importancia El tipo de arruga aparentemente lo dividiremos en superficial, medio o profundo, y que marcarán el material y concentraciones que se utilizarán y los planos en donde lo aplicaremos
A través de inyecciones por tanto por planos en las zonas a tratar, se introduce el producto en la zona deseada. Con el empleo de esta técnica de relleno facial también corporal, notaremos un cambio en el aspecto de la zona de forma inmediata, no dolorosa y segura.
Existen en el mercado mas de 200 marcas diferentes de Rellenos de ácido hialurónico inyectables, lo que nos abre un gran abanico de posibilidades a los profesionales en busca del idóneo para el paciente, aunque finalmente son únicamente 3 Laboratorios en toda Europa que lo fabrican, por lo que dentro de una misma generación de hialurónicos, no tendrían porque haber grandes diferencias …

Si hay que prestar una gran atención a cada caso particular de cada paciente, valorar el grado de corrección que necesitamos, valorar la profundidad de la aplicación según de la zona que se trate, calidad de la piel … En base a ello y nuestra experiencia elegiremos una densidad y una reticulación especifica que nos orientará también sobre la duración del mismo. Es por ello que encontramos 200 formatos de marcas diferentes. “Es por ello que la experiencia y conocimiento del ácido hialurónico elegido y utilizado hacer que los resultados sean muy naturales y que podamos apreciar después del tratamiento.

Acido hialuronico gluteos en hombres
Hay que recordar la individualidad de aceptación de cada paciente al producto ”Por lo tanto el relleno de ácido hialurónico permite corregir los signos del envejecimiento a cualquier edad, teniendo en cuenta que hay densidades específicas para el tratamiento de cada tipo de arruga como del grado de reposición deseada de volumen: Indicado para pieles finas y secas para prevenir el envejecimiento cutáneo y devolver la hidratación cutánea tensan do la piel como es el Técnica de mesoterapia patentada por Clínicas Vicario . patente de Clinicas Vicario .
A su vez ideal para el tratamiento de líneas de expresión profundas o arrugas superficiales, patas de gallo y arrugas peribucales. No olvidemos los indicados para proporcionar grandes volúmenes como en GLÚTEOS . O los tan buenos resultados con el Nuevo especifico utilizado en las ojeras gracias a ÁCIDO HIALURÓNICO OJERASEyes . de los Laboratorios Suizos Teosyal. O las densidades utilizadas en la RINOMODELACIÓN que depende de cada caso y necesidades particulares de cada paciente Según el tipo de elaboración del ácido hialurónico en los laboratorios estará contraindicado y NO podrá ser empleado en personas alérgicas a las proteínas del pollo y al huevo como hemos dicho, ni afectas de algún tipo de inmunodepresión o con antecedentes de herpés y que preguntará el Dr, en la primera visita y que constarán en la historia clínica. Ya que aún siendo el material más utilizado y más aceptado cada persona es diferente. Por tanto en personas sanas SI se recomienda para hidratar, rejuvenecer, corregir las arrugas y dár volumen en zonas que lo han perdido por el paso del tiempo consiguiendo los resultados más naturales apreciables al salir de la consulta

antes y despues labios acido hialuronico


labios antes y despues
En los labios como hemos comentado anteriormente, existen ácidos hialurónicos específicos para cada caso y según el volumen necesario para cada caso particular y cada paciente, y acordándonos de no pretender grandes volúmenes que años atrás se demandaban ya que la Naturalidad es nuestro primer objetivo
Nuestra Premisa:
“Menos es Más”
“La Discreción y la Armonía con el resto de facciones
Nos darán el buen resultado “

Después del procedimiento, pueden aparecer hematomas que van a desaparecer a los pocos días. Tras la aplicación es normal que se genera un proceso proceso inflamatorio leve, en los labios por su gran vascularización es posible por lo tanto un proceso algo más duradero.

MUY IMPORTANTE: Los primeros días es aconsejable evitar exposiciones solares prolongadas y de rayos UVA de cabina. También si es posible saunas y temperaturas altas en general. Simplemente para evitar una mayor inflamación, no olvidemos que solo el pincharse aún sin aplicar ningún producto ya producir una inflamación …
Podría precisar efectuar un retoque para conseguir el volumen deseado, siempre a partir de un tiempo prudencial de no menos de 30 días y que normalmente estará relacionado con la necesidad de una cantidad de ácido hialurónico superior al 1 ml implantados. Dependerá de la profundidad de dicho surco y de cada paciente en particular. De todas formas en caso necesario se trata de una técnica ligeramente invasiva, que deja al paciente reincorporarse a la vida social y laboral de forma inmediata.
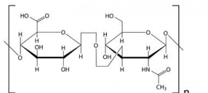
El ácido hialurónico es una molécula (polisacárido) presente de forma natural en nuestro organismo. Lo podemos localiza en la epidermis, así como en diferentes tipos de mucosas Actúa como componente en los espacios existentes entre células de los tejidos y es parte integrante de la llamada matriz extracelular, o bien MEC, que deja lubrificar, absorber y transportar los nutrientes básicos en las células y eliminar los restos generados en ellos.
El ácido hialurónico es un glicosaminoglicano GAG es decir, una molécula o bien macromolécula debido a su estructura gigante producto de la unión de muchas moléculas iguales llamadas disacáridos. Esta família de GAG o bien glicoaminoglicanos es bien conocida en el campo de la salud puesto que hay moléculas con estructura afín se emplean actualmente en un enorme número de medicamentos y suplementos nutricionales como son p.ej: Condroitín Sulfato o el Keratan Sulfato. Los GAG pueden dar lugar a formaciones más complejas y más grandes, conformando grandes estructuras moleculares tal como lo son los proteoglicanos.
Siendo un componente frecuente de la dermis y tener el beneficio de que su molécula es idéntica en todo ser vivo que lo, ha sido fácil su replicación tiene, con lo que en el momento de fabricación ha sido posible crear subtipos y así dirigir el trata miento de una forma mucho más específica. Es por lo que la densidad, la concentración o la reticulación dependiente del caso particular y las expresiones de cada paciente por lo que se trata de un tratamiento muy personalizado . Ácido Hialurónico Aquellos proteoglicanos que están formados o bien poseer ácido hialurónico son los que se hallan generalmente en los tejidos conjuntivos del cuerpo como son dermis y cartílagospuesto que el mecanismo de acción principal de las cadenas de ácido hialurónico es la absorción de agua para sostener un nivel óptimo de hidratación en estos tejidos. Por esta razón, la molécula de AH tiene una alta capacidad de atracción de moléculas de agua, y por tanto capaces de expandirse y soportar compresiones elevadas.
Como elemento esencial de la piel , es aquí donde vamos a localizarlo en unas proporciones por encima del cincuenta por ciento. De ahí su gran importancia como elemento funcional, el acido hialuronico y el colágeno son los responsables de la estructura, mantenimiento e hidratación de la piel de ahí su alto contenido en la Dermis
-Cordón umbilical (la hidratación en la zona deja el paso de nutrientes incesante, impidiendo su cierre) -Cuerpo Vítreo, es el responsable del volúmen y la manera de nuestros ojos -Vasos sanguíneos formando parte de su estructura
El ácido hialurónico, como potente atractor de agua, es un hidratante de la piel mas por si fuera poco cumple con una serie de propiedades que lo hacen único: Hidratación de la Piel da solidez y suavidad en la piel (merced a la lubricación de las fibras de colágeno) Barrera protectora de la piel (capacidad de impedir el movimiento de determinados patógenos) Da estabilidad mecánica a las articulaciones . Retrasa el envejecimiento de la piel
Rejuvenecimiento Facial Con el correr del tiempo, se va perdiendo la capacidad de absorción del agua dado a que las células de nuestra piel pierden poco a poco su capacidad de producción. Así, reduce asimismo la producción de ácido hialurónico produciendo cadenas más cortas de la molécula (cadenas largas daban más hidratación por el hecho de que eran capaces de retener más agua).
Por esa razón también, las articulaciones gastadas y avejentadas e inclusive asociadas a la artrosis pierden absolutamente su elasticidad pues tanto fibras de colágeno como matriz que las sostiene (donde está el AH) van perdiendo sus componentes.

Tiene un efecto lubrificante y amortiguador de golpes. De ahí su importancia en la rodilla de deportistas así como en las articulaciones de personas mayores, relacionandose su falta con la artrosis y otras patologías del aparato locomotor.
Hay que saber que desde el momento que se manipula cualquier parte del cuerpo humano con tratamientos invasivos, o ingiriendo alguna sustancia o medicación ya sea un alimento, una aspirina o antibiótico, incluso con una simple inyección para una extracción o vacuna o bien a través de el empleo de productos de aplicación externa que pueden parecer inocuos es posible padecer síntomas de intolerancia, alergia u otros … En el caso del ácido hialurónico los efectos secundarios que son muy improbables también pudiéran aparecer con molestias suaves, rojeces o también irritaciones leves o induraciones sobre las zonas tratadas.
El empleo de este producto no está acostumbrado a causar efectos favorables en más del 99% de personas, estamos hablando por tanto de porcentajes muy inferiores al 1% y generalmente cuando brotan acostumbran a desaparecer entre las primeras cuarenta y ocho a setenta y dos horas. Describiremos mas adelante los efectos secundarios que pueden darse en personas tanto en tratamientos tópicos como en tratamientos de infiltraciones o vía oral. También es importante saber que existen a su vez contraindicaciones en el empleo de cremas de aplicación externa con ácido hialurónico o vitaminas. Usando sueros o cremas, en el caso de darse cuenta de algún efecto secundario lo normal es sentir una reacción leve o bien aparecer alguna rojez ligera producida por una posible alergia a alguno de sus componentes. Del mismo modo que sucede con otros productos empleados para la piel, estos acostumbran a estar mezclados con múltiples sustancias y / o estabilizantes a los que pudiéramos ser sensibles y producir algún tipo de intolerancia o alergia. Si bien estos posibles síntomas no deberían pasar de las veinticuatro de las cuarenta y ocho horas. Debes dejar de aplicar la crema tan pronto como sientas algúna reacción y si no reducen pedir cita a tu médico. Los mejores tratamientos y con las mejores marcas de acido hialuronico para rellenos faciales o con cualquier otro material que apliquemos como relleno de arrugas o incluso con nuestra propia grasa no están exentos de producirnos aunque en muy bajas probabilidades y muy raras ocasiones algún efecto indeseables. Normalmente serán transitorios pero que tenemos que conocer y estar informados antes de realizarlo. – Pequeñas rojeces o edemas pueden aparecer en las zonas tratadas tras la intervención. – Irritación de la zona. – Posible hematoma – Hipersensibilidad cerca de la zona de la piel tratada. – Picores y molestias centradas en el lugar en donde se ha aplicado. – Inflamación debida a la inyeccion. – Reacción a cuerpo extraño posible induración o bulto normalmente transitorio. – Hipopigmentación o decoloración de la piel. – Posible hiperpigmentación en la zona. – Posible infección por inyección o aplicación de algún cosmético o producto tres la aplicación. Aún siendo muy improbable en el caso de apreciar algún síntoma o molestia posteriormente al tratamiento lo mejor siempre llamar y pedir cita para consultar a tu médico. Él es quien tiene la mayor información ya que es el profesional que te ha efectuado el tratamiento y que más conoce el producto ya ti. Te informará y evaluará, aunque por regla general sencillamente serán reacciones normales, leves y pasajeras. Se recomienda siempre inmediatamente después de ambientes cálidos como solariums, saunas, estar cerca de calificaciones, etc …
Una gran Novedad presentada por los prestigiosos LABORATORIOS DE NUESTRO PAIS y habiendo pasado la estricta normativa de la FDA en EE.UU

Con un Ácido hialurónico específico para las zonas íntimas y el rejuvenecimiento de los labios y el canal devolviéndole turgencia e hidratación perdida por los cambios hormonales y la edad a partir de los 40 años con grandes resultados y gran satisfacción de los pacientes. Nuestras relaciones pasarán a mejorar y nosotras mismas encontrarnos mejor y mas seguras.
El Nombre de este Ácido Hialurónico especifico es sin duda un gran avance

El precio del ácido hialurónico variará según el tipo de ácido que utilicemos, ya sea para la mesoterapia facial junto a vitaminas y cuya viscosidad y tamaño molecular será inferior para su mejor aplicación superficial favoreciendo la absorción. También para arrugas de expesión mas marcadas como el rictus, arrugas de las comisuras labiales o de marioneta, así como para pronunciar más los pómulos donde la reticulación será superior asi como su duración. En los labios a poder ser utilizaremos ácidos de reticulación intermedia, intentado que sea lo más natural posible y reduciendo la posibilidad de reacción a cuerpo extraño. Por todo ello aconsejamos primero siempre tener una primera visita para informarte y orientar el tratamiento para tu caso particular.Para tener unos precios orientatívos de los tratamientos te sugerimoss en primer lugar pedir cita e informarte de tu caso particular y de cuales son los tratamientos que mejor se adaptan tu caso y luego ver nuestros mejores precios…
Investigación y novedades del Ácido Hialurónico?
El nuevo y más duradero acido hialurónico el
ha sido recientemente aprobado este último 20 de marzo de 2017 por la FDA Dos Nuevos Rellenos Dérmicos para Líneas de expresión Siempre en adultos mayores que 21 años, la empresa informa. En EU el ensayo clínico aleatorio demuestra que el 59% de pacientes vieron una mejora moderada a surcos nasolabiales severos pasados hasta 18 meses, con el 82% de pacientes que los dicen muy estuvo satisfecha en 6 meses y el 68% en 18 meses,“Lo que es realmente destacable de esta gran compañía es que puede durar hasta 18 meses de la primera inyección que está por encima de cualquier otro resultado mostrado en un estudio clínico en los surcos nasolabiales,” Joely Kaufman, MD, un dermatólogo certificado por consejo y el investigador de ensayo clínico de Aguilones de Coral, Florida, dijo en La Liberación

1º Visita e información sin compromiso
* Los Buenos resultados de este tratamiento se han demostrado en multitud de estudios científicos De todas las maneras en las personas la Medicina y la Cirugía no son siempre una ciencia exacta en ninguna de sus especialidades y tratamientos. Cada paciente tendrá una respuesta particular e individual y los resultados en términos cuantitativos y cualitativos no pueden asegurarse de forma igual en todos los pacientes.
Barcelona, 08021
Teléfono Móvil
Correo electrónico: consultas@clinicasvicario.es
Madrid, 28010
Teléfono Móvil:
–
Valencia, 46007
Teléfono:
Passeig de Mallorca, 26,
07012 Palma, Illes Balear Horas Concertadas
Elvira Cerdana Puy el 17/03/2016
Mi valoración: 10/10
Opinión: Infiltración de ácido hialuronico + vitaminas
begoña hernandez el 28/01/2016
Mi valoración: 9/10 [yasr_visitor_votes size=”small”]
Me gustó:
Gran profesionalidad, gran atención y trabajo bien hecho. El profesional que me atendió ha sido uno de los mejores que me han tratado en el mundo de la medicina estética. Begoña
Opinión: Infiltración de ácido hialuronico + vitaminas
maria elena bernal vila el 21/01/2016
Mi valoración: 8/10[yasr_visitor_votes size=”small”]
Me gustó:
el doctor muy amable me explico todas mis consultas muy bien.
Opinión: Infiltración de vitaminas y ácido hialurónico
Elsa Solis Navarro el 20/01/2016
Mi valoración: 9/10[yasr_visitor_votes size=”small”]
Opinión: Relleno de ácido hialurónico en zona a elegir
susana asencio el 25/11/2015
Mi valoración: 10/10[yasr_visitor_votes size=”small”]
Opinión: Relleno de ácido hialurónico en zona a elegir
tere nieto huertos el 17/11/2015
Mi valoración: 8/10[yasr_visitor_votes size=”small”]
Opinión: Relleno de ácido hialurónico en zona a elegir
mireia aldomà garcía el 17/11/2015
Mi valoración: 10/10[yasr_visitor_votes size=”small”]
Opinión: Relleno de ácido hialurónico en zona a elegir
maite bayona muxi el 12/11/2015
Mi valoración: 7/10[yasr_visitor_votes size=”small”]
Opinión: Relleno de ácido hialurónico facial
Usuario Anónimo el 26/03/2015
Mi valoración: 9/10 [yasr_visitor_votes size=”small”]
Barcelona, 08021
Teléfono :
Teléfono Movil
Correo electrónico: consultas@clinicasvicario.es
Madrid, 28010
Teléfono:
Teléfono Movil:
–
Valencia, 46007
Teléfono:
Passeig de Mallorca, 26,
07012 Palma, Illes Balear
Horas Concertadas